Jan Heiland
Jan Heiland
  • Home
  • Teaching
  • Blog
  • Projects
  • Events
  • Publications
  • Contact
  • Light Dark Automatic
Übersicht
  • Warmup
  • 1 Folgen und Reihen
  • 2 Stetigkeit von Funktionen
  • 3 Differenzierbarkeit 1
  • 4 Taylor- und Potenzreihen
  • 5 Integration I
  • 6 Fourierreihen
  • 7 Differenzierbarkeit II
  • 8 Integration II
  • Cool Down
  • Contents
    • 4-1 Taylorpolynom, Landau-Symbole, Taylor-Reihe
    • 4-2 Taylor-Reihe, Potenzreihe, Taylor-Reihe

4 Taylor- und Potenzreihen

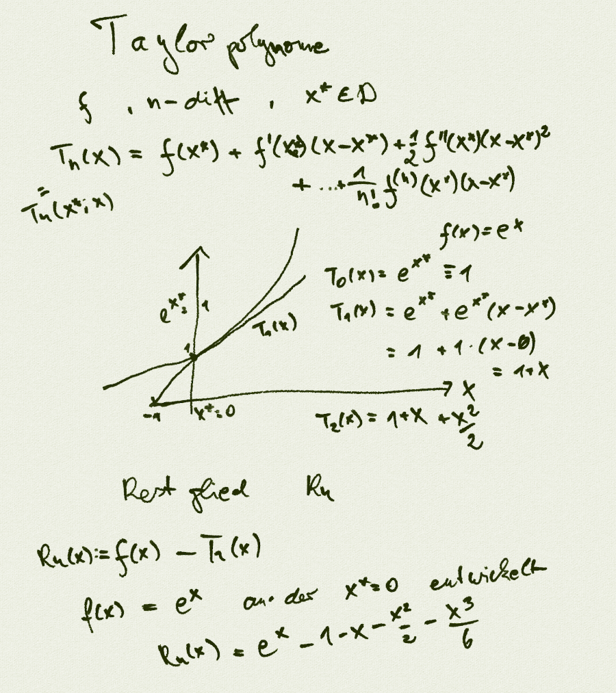
4-1 Taylorpolynom, Landau-Symbole, Taylor-Reihe

Vorlesung

Shownotes

  • Kapitel 14 im Skript.

Illustrierte Beispiele

das ganze als PNG

4-2 Taylor-Reihe, Potenzreihe, Taylor-Reihe

Vorlesung

Shownotes

  • Kapitel 14 im Skript.

Illustrierte Beispiele

das ganze als PNG

Previous
3 Differenzierbarkeit I
Next
5 Integration I

Last updated on May 3, 2021

Published with Wowchemy — the free, open source website builder that empowers creators.

Cite
Copy Download