Cool down
Das ist eine zweiteilige Zusammenfassung der relevantesten (für die anstehende Klausur) Inhalte. Immer im BBB.
1 Folgen und Stetigkeit
- das vorausgefuellte Whiteboard
- und mit den Beispielen der Vorlesung
- Link zum Vorlesungsvideo gibt’s im Moodle - elearning unter Vorlesungsaufzeichnungen.
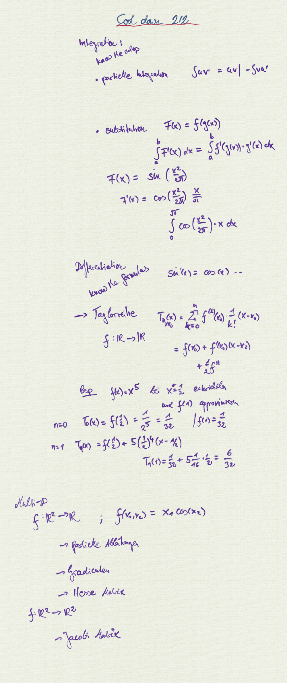
2 Differentiation und Integration
- das vorausgefuellte Whiteboard
- und mit den Beispielen der Vorlesung
- Link zum Vorlesungsvideo gibt’s im Moodle - elearning unter Vorlesungsaufzeichnungen.
X Die Videos dazu aus dem letzten Jahr
Immer noch aktuell!